中国消费品质量安全促进会 · 官方网站

【健康汽车研究专题·技术篇】车内气味控制技术研究

2025-12-03 朱振宇 中汽数据有限公司 高级工程师、曹子健 中汽数据有限公司 工程师
 
[摘要] 随着我国汽车保有量的持续增长以及消费者健康意识的提升,车内气味问题已成为影响驾乘体验与健康安全的关键因素。由于车内材料复杂、气味来源多样,目前行业仍面临严峻挑战。本文系统分析了车内气味的来源与危害,指出其主要源于内饰材料挥发、微生物代谢及外部污染等。在此基础上,重点探讨了车内气味控制的两大技术:一是超临界二氧化碳萃取技术,用于从材料源头减少气味挥发;二是固体碱技术,用于主动净化车内空气。研究表明,通过材料优选、工艺优化及复合净化技术的综合应用,可显著降低气味强度,提升车内空气质量。本文旨在为汽车行业提供系统化的气味管控策略,为保障消费者健康及提升产品竞争力提供重要参考。
 
 [关键词] 车内气味;气味来源;控制技术
朱振宇
南开大学环境工程硕士毕业,
现任中汽数据有限公司可持续发展业务部主管,
主要从事汽车环保性能开发及法规政策研究工作。
先后完成工业和信息化部、生态环境部等多项汽车环保相关委托课题,
为国内多家整车企业提供汽车产品环保性能开发及改进等技术咨询服务。
发表相关论文20余篇,授权发明专利十余项,荣获机械工业科学技术奖1项。
 
引言
 2025年上半年,我国累计销售汽车1213.0万辆,同比增长8.7%。随着我国汽车保有量持续增长,消费者健康意识也在持续提升。中汽数据完成的2024年车内健康性能消费者调研显示,62.1%的消费者关注车内气味问题,这表明车内气味问题已成为影响消费者体验的关键因素。同时,60.9%的被访用户能感知到车内气味,其中3.4%的车主认为气味达到不可忍受的程度,这进一步凸显了问题的紧迫性。目前,车内所用材料种类丰富多样,导致车内产生气味的物质众多。为确保新车无气味,切实保护消费者身体健康,我国汽车行业将气味单独列为车内空气质量的一项关键技术指标加以管控,并且逐年加大研发投入力度。由于车内气味的复杂性,汽车企业在车内气味改善方面仍面临诸多挑战。
 
1 车内气味
  车内气味是指车辆内部存在的各类气味混合物,主要依赖人类的嗅觉系统进行感知与辨识。因车内出现令人不适的气味而产生车内气味污染问题,不仅直接刺激车主嗅觉系统,还可能引发其心理上的不适及生理上的负面反应。
表1 车内气味类型及主要来源
 
  研究发现,车内空气中含有上百种化学物质,其中,引起车内气味问题的物质主要包括醛酮类、烷烃类、酯类、芳香烃类、醇类等。对这些物质进行详细分析,发现引发车内气味问题的原因主要有五,即:内饰材料产生的挥发性有机物(VOC)、车内微生物代谢产生的气味、外部进入车内的气味、驾乘人员自身携带的气味以及车内布置装饰品等其他会引起气味的主观行为。对新车来说,内饰材料是造成车内气味的主要原因。车内各类零部件由于原材料和生产工艺不同,也会产生不同类型的气味[1],具体见表1
  当车内气味对人体刺激达到一定程度时,短时间内会让人感到头痛、恶心等,严重时会出现抽搐,并伤害人的肝脏、肾脏、大脑和神经系统[2]。世界卫生组织(WHO)规定,根据有毒有害气体的强度和浓度,可对人体健康造成四种程度的影响:一是未对人体产生直接或间接影响;二是对植物构成危害,但对人感觉器官的刺激是可逆的生理性影响,例如人的视力暂时性下降;三是引起人体重要的生理机能并发生障碍和病变,甚至缩短生命;四是使受污染的人群发生急性病并引起死亡。
 
2 车内气味控制方法
  车内气味问题已成为影响消费者驾乘体验的主要问题之一。为有效改善车内气味,目前,国内各大汽车企业主要采取车内气味溯源和气味控制技术加强车内气味管控。
2.1 车内气味溯源
  要有效管控车内气味,需精准识别引发车内气味的具体物质,这要对车辆进行气味溯源。
图1 车内气味溯源流程
 
  整车气味溯源分析首先以整车为测试对象,开展整体气味评估与全谱分析,同步实施气味类型解析和挥发性物质的初步筛查;其次识别出可能存在问题的零部件,并对这些部件单独进行气味评价与全谱检测,将其结果与整车的味型及挥发物成分进行比对,从而准确定位风险材料;第三针对关键影响材料实施定向改进,以达到优化整车气味性能的目的[3]。气味溯源分析流程如图1所示。
2.1.1 整车重点气味物质筛选方法
  气味物质主要刺激人的嗅觉器官,由嗅阈值和鼻腔刺激阈值两项基本参数对其进行表征。嗅阈值指的是某种物质能引起人体对其嗅觉感受的最小物质浓度[4];鼻腔刺激阈值指的是在嗅觉缺失的情况下,某种物质能引起鼻腔三叉神经刺激的最小物质浓度[5]。通过查阅文献的方式确定车内VOC的嗅阈值和鼻腔刺激阈值。对于部分查不到嗅觉阈值的物质,本研究利用Abraham[6]等方法进行计算得到。
表2 车内气味强度
 
  目前,主机厂在进行整车气味评价时会组织气味评价员依次进入车舱内部,对特定位置的气味进行评价,并根据主观感受给出气味强度。我国汽车行业对气味强度的评判主要分为六级,见表2。
  具体筛选方法如下:
表3 整车重点气味物质清单
 
  将某物质嗅阈值浓度对应的气味强度定为2级,鼻腔刺激阈值浓度对应的气味强度定为5级,以物质浓度的对数为横坐标、气味强度为纵坐标,将车内VOC气味强度和化学浓度关系做成一张图,定义为气味相图。将车内VOC的浓度值代入气味相图的方程中,得到检出物质的整车相图气味强度,将相图气味强度由大到小进行排序,选择相图气味强度大于等于3级的物质定为整车重点气味物质,从而得到整车重点气味物质清单,见表3。
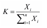
  依据下式计算某物质的整车气味权重系数。
  式中:K为某物质的整车气味权重系数;Xi为整车重点气味物质清单中第i种物质的整车相图气味强度;n为整车重点气味物质的数量。 
2.1.2 零部件与整车气味匹配度分析方法
  由车内各个零部件的VOC全谱数据,参考整车气味相图绘制方法,得到各零部件VOC的气味相图。然后依据下式计算零部件气味与整车气味的匹配度。
  式中:MD为零部件气味与整车气味的匹配度;Cj为零部件中检出的、属于整车重点气味物质的第j种物质的零部件相图气味强度;Kj为零部件中检出的第j种物质的整车气味权重系数;n为零部件中检出的、属于整车重点气味物质的数量。
  将各零部件的MD值由大到小进行排序,得到各零部件气味与整车气味的匹配度排序。该排序结果从一定程度上反映了零部件与整车气味的关联性,可根据其确定气味高危零部件。
2.2 气味控制技术
  车内气味控制技术主要分为前处理和后处理两种。其中,前处理技术旨在从源头上减少气味物质产生与排放,后处理技术则聚焦于净化已产生的车内气味。
  前处理涵盖材料、工艺和仓储控制。材料控制需选择低气味材料以及优质供应商,从源头控制气味问题;工艺控制通过改善加工工艺与优化生产流程,减少主材和助剂用量,降低气味物质的产生;仓储控制通过改善通风、分类分隔储存,避免材料受交叉污染。
  后处理包括被动、主动和复合净化。被动净化依赖空气自然流动与净化材料接触,如活性炭吸附、金属有机骨架化合物(MOFs)材料技术等;主动净化通过动力装置主动吸入空气并强制通过净化模块,如车载空气净化器、负氧离子发生器、光催化氧化技术等;复合净化是系统级解决方案,整合多种净化技术,由系统统一管理,依据传感器实时监测切换循环、启停装置,甚至实现远程预净化。
  本文详细介绍了前处理中的超临界二氧化碳萃取技术以及后处理的固体碱技术。综合运用这些技术,能够有效降低车内气味强度,改善车内空气质量,为消费者提供更健康舒适的驾乘环境。
2.2.1 超临界二氧化碳萃取技术
  物质常见的状态有固体、液体和气体,当物质超过临界点时就会处于超临界流体状态,这种状态兼具气体的高扩散性与液体的物质溶解力,其表面张力几乎为零,并且扩散性和溶解力可以通过压力和温度进行灵活控制,从而实现对物质表面污染物的完美溶解和析出。超临界二氧化碳(CO2)是指处于临界压力和临界温度以上的CO2,其动力学性质与气态CO2相似,具有黏度低、表面张力小和对溶解对象的传输速率大等优点。同时,其分子之间的距离和分子相互作用特性又与液态CO2相近,密度也和液态CO2相当。这些特性使得超临界CO2对有机污物和一些无机污物具有较强的溶解能力[7]
图2 超临界二氧化碳萃取技术流程图
 
  超临界CO2萃取技术主要应用在降低聚烯烃树脂料气味等级方面,如图2所示,整个流程分为三个关键步骤。首先是材料准备。将聚烯烃树脂料加入萃取釜,同时将CO2气体经过滤、冷却变为液态;其次是混合加压。将携带剂和液态CO2加热加压成
  超临界状态后送入萃取釜进行萃取,从而得到低气味等级的聚烯烃树脂料。超临界状态的CO2能充分发挥其特性,有效分离出聚烯烃树脂料中的小分子物质;第三是循环利用。将萃取釜流出的物料送入减压分离釜,分离出小分子物质,气态流体冷却为液态后再送回萃取釜循环使用。
  超临界CO2萃取具有诸多优势。该技术实施条件中等,CO2无毒廉价且可循环再利用;与小分子物质作用力强,脱出速度快;在常温常压下能还原成气态脱离,所得低气味聚烯烃树脂无需干燥后处理,节约时间成本,而且在15分钟内就能让聚烯烃树脂粒料80℃的气味等级降到2.5级以下,效果十分可观。
2.2.2 固体碱技术
  固体碱性材料是指一类具有碱性质的固态物质。其碱性源于在水溶液或有机介质中能够提供孤对电子或接受质子;其组成既可以是单一化合物,也可以是复合体系,例如由金属氧化物与载体复合所形成的固体超强碱。此外,部分金属氢氧化物、氧化物、盐类及有机物质也具备作为固体碱的条件。近年来,由于固体碱具有高比表面积、适宜的孔道结构、良好的水热稳定性与机械强度等结构特性,同时兼具腐蚀性较低、易于分离回收以及环境友好等优势,已成为广泛应用的重要催化剂之一[8]。固体碱催化剂分为有机固体碱和无机固体碱两类,其中,无机固体碱因制备简单、碱强度分布范围宽、热稳定性好而成为固体碱发展的主要方向。
  固体碱通常以硅胶为载体,浸渍高纯二氧化氯稳定态溶液,经干燥而成,属于无机固体碱催化剂。固体碱作为微纳、绿色高级氧化材料,凭借强氧化性,既能彻底分解甲醛,又能破坏微生物酶系统,高效杀灭细菌、真菌和病毒。该技术的优势在于主动与被动协同作用。一方面,空气中的还原性物质、二氧化碳和水分吸附在催化剂活性组分表面,在二氧化氯参与下解离成羟基自由基、氧自由基和过氧自由基等并原位再生,对通过的空气消毒净化,此为被动式消毒净化;另一方面,氧化过程释出的分子态二氧化氯随风散布,进一步消毒净化,属于主动式消毒净化。这种协同作用实现了消毒净化的高效快捷,以及空气和物体表面消毒净化的同步进行。
  将固体碱无纺布与熔喷或静电棉复合制成的汽车空调滤芯,具有强大的消杀能力。它能杀死病毒、细菌、原生生物、藻类、真菌、孢子及孢子形成的菌体,减少霉菌在空调风道中滋生产生的酸臭味,从根源上抑制车内气味问题,并且可以净化过滤空气中的气味物质,对空气进行净化。
 
3 结论
  车内气味问题作为影响消费者健康与驾乘体验的核心因素,其管控需从来源解析与技术创新两方面系统推进。本文首先明确了车内气味的多源性特征,包括内饰材料挥发、微生物代谢、外部侵入及人为因素等,其中醛类、芳香烃类等VOC物质不仅产生令人不适的气味,更对人体健康构成潜在威胁,如苯、甲醛等致癌物质可导致神经系统损伤、肝功能异常等严重后果。针对这些挑战,行业逐步形成了以“溯源+控制”为核心的双轨策略。气味溯源通过整车与零部件的味型比对、挥发物全谱分析及阈稀释倍数评估,精准定位高风险材料,为有针对性地改进提供依据。在控制技术层面,前处理技术如超临界二氧化碳萃取技术,利用超临界流体的高扩散性与溶解力,高效脱除聚烯烃树脂中的小分子污染物,兼具环保性与经济性;后处理技术则以固体碱为代表,通过被动吸附与主动释放二氧化氯自由基的协同机制,有效抑制空调系统霉菌滋生及气味产生。
  未来,车内气味管控需持续进行研究和创新,以应对多样化污染场景与消费者日益提升的健康需求。一方面,应深化低气味材料的研发与标准化,推动供应链协同管理,从源头削减挥发物释放,为达成气味一致性而深入研究;另一方面,需优化复合净化技术集成方案,结合传感器实时监测与智能控制系统,实现车内气味的有效管控。此外,行业需加强气味评价体系的标准化与国际化,提升溯源精度与管控效率。在此基础上,通过跨学科合作与全产业链协作,为消费者营造更健康、舒适的驾乘环境,推动汽车产业向绿色、高品质方向持续发展。
  消费者作为车内环境最终体验者,也应增强对气味的辨识与关注。在选车阶段,除了关注车辆性能与配置,建议坐入车内进行气味感知,尤其在车辆密闭一段时间后,留意是否存在刺鼻、异味等不适气味;可优先考虑配备智能空气净化、空气质量实时显示等功能,或明确标注使用低气味环保材料的车型。在日常使用中,消费者还应注意定期通风、清洁内饰,避免引入外部污染源。
 
 参考文献 
〔1〕吴峰. 车内VOCs及气味的管控措施研究[J]. 汽车零部件, 2024, (03): 90-93+102.
〔2〕何莉萍, 彭梦蝶, 杨金, 等. 综合车内VOCs气味及其健康危害对乘员舒适性影响评价[J]. 湖南大学学报(自然科学版), 2022, 49(12): 57-64.
〔3〕https://www.epa.gov/aegl/access-acute-exposure-guideline-levels-aegls-values#chemicals
〔4〕赵岩, 陆文静, 王洪涛, 等. 城市固体废物处理处置设施恶臭污染评估指标体系研究[J] . 中国环境科学, 2014, 34(7): 1804-1810
〔5〕Cometto-Muiz J E , Abraham M H. Dose-response functions for the olfactory ,nasal trigeminal ,and ocular trigeminal detectability of airborne chemicals by humans [J]. Chemical senses , 2015 , 41(1): 3-14.
〔6〕Abraham M H , Sánchez-Moreno  R , Cometto-Muiz J E ,et al. An algorithm for 353 odor detection thresholds in humans[J]. Chemical senses, 201, 37(3): 207-218.
〔7〕刘继艳, 刘艺霖, 张树才, 等. 超临界CO2萃取在金属回收中的应用与进展[J/OL]. 化工进展, 1-19[2025-09-22].
〔8〕刘锦娜, 牟煜桐, 漆思庆, 等. 固体碱催化剂的制备及应用研究进展[J]. 山东化工, 2025, 54(08): 90-94+97.

声明:

       本网注明“来源:中国消费品质量安全促进会”的所有作品,版权均中国消费品质量安全促进会,未经本网授权不得转载、摘编或利用其他方式使用上述作品。已经本网授权使用作品的,应在授权范围内使用,并注明“来源中国消费品质量安全促进会”。违反上述声明者,本网将追究其相关法律责任。若需转载本网稿件,请致电:010-59196582。

      本网注明“来源:XXX(非中国消费品质量安全促进会)”的作品,均转载自其他媒体,转载目的在于传递更多信息,并不代表本网赞同其观点和对其真实性负责